Class 10th Physics Chapter 3 Notes in Hindi – विधुत धारा (Electric Current) के इस पोस्ट में हम आपको NCERT पाठ्यक्रम पर आधारित, सरल, स्पष्ट और परीक्षा-उपयोगी संपूर्ण नोट्स उपलब्ध करा रहे हैं।
यह नोट्स विशेष रूप से CBSE, Bihar Board, UP Board तथा अन्य राज्य बोर्डों के हिंदी माध्यम के विद्यार्थियों के लिए तैयार किए गए हैं, ताकि वे इस अध्याय के प्रत्येक सिद्धांत को आसानी से समझ सकें और बोर्ड परीक्षा में उच्च अंक प्राप्त कर सकें।
इस अध्याय में हमने विद्युत धारा, विभवांतर, ओम का नियम, प्रतिरोध, श्रेणीक्रम एवं समांतरक्रम समूहन, विद्युत शक्ति, विद्युत ऊर्जा, तथा विद्युत धारा के ऊष्मीय प्रभाव जैसे सभी महत्वपूर्ण विषयों को विस्तारपूर्वक और बोर्ड पैटर्न के अनुसार समझाया है।
साथ ही, एमीटर और वोल्टमीटर की तुलना, फ्यूज, बल्ब, हीटर, और तपन अवयव (Heating Element) जैसे व्यावहारिक विषयों को भी सरल उदाहरणों सहित प्रस्तुत किया गया है।
हर विषय को स्पष्ट सारणियों, परिभाषाओं, सूत्रों और मुख्य बिंदुओं के साथ इस प्रकार समझाया गया है कि यह तेज़ रिवीजन और अंतिम परीक्षा तैयारी – दोनों के लिए अत्यंत उपयोगी साबित होगा।
अगर आप Class 10th Physics Chapter 3 – Electric Current (विधुत धारा) को एकदम आसान भाषा में समझना चाहते हैं और बोर्ड परीक्षा में शानदार प्रदर्शन करना चाहते हैं, तो यह फ्री हिंदी नोट्स और PDF डाउनलोड आपके लिए बिल्कुल उपयुक्त है।
अभी डाउनलोड करें और अपनी परीक्षा तैयारी को और भी आसान बनाएं।
Class 10th Physics Chapter 3 Notes in Hindi
✸ विद्युत धारा (Electric Current)
विद्युत धारा से अभिप्राय है — किसी चालक (जैसे तार) से होकर विद्युत आवेश का प्रवाह होना।
सरल शब्दों में, जब किसी तार में इलेक्ट्रॉनों का प्रवाह एक दिशा में होता है, तो उस प्रवाह को ही विद्युत धारा कहा जाता है।
➤ बोलचाल की भाषा में विद्युत धारा को ही सामान्यतः बिजली (Electricity) कहा जाता है।
➤ हम जानते हैं कि प्रत्येक पदार्थ के परमाणु में तीन प्रकार के मौलिक कण होते हैं —
ऋण आवेशयुक्त इलेक्ट्रॉन (Electron), धन आवेशयुक्त प्रोटॉन (Proton) तथा अनावेशित न्यूट्रॉन (Neutron)।
➤ प्रोटॉन और न्यूट्रॉन परमाणु के नाभिक (Nucleus) में स्थित रहते हैं, जबकि इलेक्ट्रॉन नाभिक के चारों ओर कक्षाओं (Orbits) में घूमते रहते हैं।
➤ सामान्य अवस्था में परमाणु विद्युत रूप से उदासीन (Neutral) होता है क्योंकि उसमें धन और ऋण आवेश की संख्या समान होती है।
➤ यदि कोई परमाणु अपने इलेक्ट्रॉन खो देता है, तो वह धनावेशित (Positively Charged) हो जाता है, और यदि इलेक्ट्रॉन प्राप्त कर लेता है, तो ऋणावेशित (Negatively Charged) बन जाता है।
➤ विद्युत आवेश सदैव संरक्षित (Conserved) रहता है; इसे न तो उत्पन्न किया जा सकता है और न ही नष्ट किया जा सकता है, केवल एक वस्तु से दूसरी वस्तु में स्थानांतरित किया जा सकता है।
✸ चालक (Conductor)
वे पदार्थ जिनसे होकर विद्युत आवेश आसानी से प्रवाहित हो सकता है, चालक कहलाते हैं।
इनमें मुक्त इलेक्ट्रॉनों की संख्या अधिक होती है।
उदाहरण: लोहा, तांबा, चाँदी, मनुष्य का शरीर, अशुद्ध जल, पृथ्वी आदि।
✸ विद्युतरोधी (Insulator)
वे पदार्थ जिनसे होकर विद्युत आवेश प्रवाहित नहीं हो सकता, विद्युतरोधी या इन्सुलेटर कहलाते हैं।
इनमें इलेक्ट्रॉन दृढ़ता से बंधे होते हैं, इसलिए विद्युत प्रवाह नहीं कर पाते।
उदाहरण: रबर, चमड़ा, मोम, प्लास्टिक, शुद्ध जल, काँच आदि।
✸ आवेश (Charge)
जब कोई पदार्थ अपने सामान्य व्यवहार से भिन्न विद्युत या चुंबकीय प्रभाव उत्पन्न करता है, तो कहा जाता है कि उस पर विद्युत आवेश (Electric Charge) है।
यह किसी वस्तु का वह गुण है जिससे उसके आसपास विद्युत क्षेत्र (Electric Field) तथा चुंबकीय क्षेत्र (Magnetic Field) उत्पन्न होता है।
➤ आवेश का SI मात्रक: कूलॉम (Coulomb) है।
➤ CGS मात्रक: स्टेट-कूलॉम (Statcoulomb) या फ्रेंकलाइन (Franklin)
1 कूलॉम=3×109 स्टेटकूलॉम
➤ 1 कूलॉम आवेश = 3 × 10⁹ esu आवेश = 1/10 emu आवेश = 1/10 ऐब कूलॉम
✦ आवेश के प्रकार (Types of Charge)
आवेश मुख्यतः दो प्रकार के होते हैं —
- धन आवेश (Positive Charge) – इसे ( + ) चिन्ह द्वारा दर्शाते हैं।
- ऋण आवेश (Negative Charge) – इसे ( – ) चिन्ह द्वारा दर्शाते हैं।
जब दो वस्तुओं को आपस में रगड़ा जाता है, तो एक वस्तु इलेक्ट्रॉन खोकर धनावेशित हो जाती है, जबकि दूसरी इलेक्ट्रॉन पाकर ऋणावेशित हो जाती है।
अर्थात् दोनों वस्तुओं पर उत्पन्न आवेशों की प्रकृति एक-दूसरे के विपरीत होती है।
उदाहरण:
यदि काँच की छड़ी को रेशम से रगड़ा जाए तो काँच पर धन आवेश उत्पन्न होता है, जबकि काँच को रोएँदार कपड़े (fur) से रगड़ने पर उस पर ऋण आवेश उत्पन्न होता है।
✸ विद्युत विभव (Electric Potential)
किसी एकांक धन आवेश को अनंत स्थान से विद्युत क्षेत्र में स्थित किसी बिंदु तक विद्युत बल के विरुद्ध ले जाने में किया गया कार्य ही उस बिंदु का विद्युत विभव (Electric Potential) कहलाता है।
➤ इसे V से प्रदर्शित किया जाता है।
➤ यह एक अदिश राशि (Scalar Quantity) है।
➤ इसका SI मात्रक वोल्ट (Volt) है।

1 वोल्ट = 1 जूल/कूलॉम
अर्थात यदि 1 कूलॉम आवेश को किसी बिंदु तक ले जाने में 1 जूल कार्य करना पड़े, तो उस बिंदु का विद्युत विभव 1 वोल्ट कहलाता है।
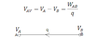
✸ विभवांतर (Potential Difference)
किसी विद्युत परिपथ में दो बिंदुओं के बीच विभवांतर वह कार्य होता है जो प्रति एकांक आवेश को एक बिंदु से दूसरे बिंदु तक ले जाने में विद्युत बल के विरुद्ध किया जाता है।
अर्थात, विभवांतर यह बताता है कि दो बिंदुओं के बीच कितनी ऊर्जा की आवश्यकता होती है ताकि आवेश उन बिंदुओं के बीच प्रवाहित हो सके।

➤ विभवांतर का SI मात्रक वोल्ट (Volt) होता है।
➤ इसे V से दर्शाते हैं।
➤ यदि किसी चालक के दो सिरों के बीच विभवांतर 1 वोल्ट है, तो इसका अर्थ है कि 1 कूलॉम आवेश को एक सिरे से दूसरे सिरे तक ले जाने में 1 जूल कार्य किया गया है।
✸ सेल (Cell)
सेल एक ऐसा उपकरण होता है जो रासायनिक ऊर्जा को विद्युत ऊर्जा में रूपांतरित करता है।
यह विद्युत धारा उत्पन्न करने का मूल स्रोत होता है।
➤ एक बैटरी में आमतौर पर कई सेल जुड़े होते हैं जो आवश्यक वोल्टेज और करंट प्रदान करते हैं।
➤ सेल में प्रयुक्त इलेक्ट्रोलाइट के प्रकार के आधार पर यह गीला (Wet Cell) या सूखा (Dry Cell) हो सकता है।
➤ प्रत्येक सेल में दो इलेक्ट्रोड होते हैं —
- एनोड (Anode): ऋणात्मक ध्रुव
- कैथोड (Cathode): धनात्मक ध्रुव
दोनों को इलेक्ट्रोलाइट द्वारा अलग किया जाता है।
इन इलेक्ट्रोड्स के बीच रासायनिक प्रतिक्रिया होने से इलेक्ट्रॉन प्रवाहित होते हैं और विद्युत ऊर्जा उत्पन्न होती है।
✦ सेल के प्रकार (Types of Cells)
सेल मुख्यतः दो प्रकार के होते हैं —
1. प्राथमिक सेल (Primary Cell):
वे सेल जिन्हें पुनः आवेशित (Recharge) नहीं किया जा सकता, प्राथमिक सेल कहलाते हैं।
इनमें रासायनिक प्रतिक्रिया अपरिवर्तनीय (Irreversible) होती है।
जब ये डिस्चार्ज हो जाते हैं तो इनके इलेक्ट्रोलाइट और इलेक्ट्रोड दोनों निष्क्रिय हो जाते हैं।
उदाहरण: ड्राई सेल (Dry Cell), डैनियल सेल (Daniel Cell), लेक्लांछे सेल (Leclanché Cell) आदि।
2. द्वितीयक सेल (Secondary Cell):
वे सेल जिन्हें बार-बार आवेशित (Recharge) किया जा सकता है, द्वितीयक सेल कहलाते हैं।
इनमें रासायनिक प्रतिक्रिया परिवर्तनीय (Reversible) होती है।
उपयोग के बाद इन्हें पुनः चार्ज करके फिर से प्रयोग में लाया जा सकता है।
उदाहरण: लेड–एसिड बैटरी (Lead-Acid Battery), निकेल–कैडमियम बैटरी (Ni-Cd Battery), लिथियम–आयन बैटरी (Li-ion Battery) आदि।
✸ बैटरी (Battery)
बैटरी वास्तव में कई सेल्स का समूह होती है।
यह अपने अंदर रासायनिक ऊर्जा को संग्रहीत रखती है और आवश्यकता पड़ने पर उसे विद्युत ऊर्जा में परिवर्तित करती है।
➤ प्रत्येक सेल कुछ वोल्ट उत्पन्न करता है, और जब अनेक सेल श्रृंखला में जोड़े जाते हैं, तो उनका कुल वोल्टेज बढ़ जाता है।
➤ बैटरी से उत्पन्न इलेक्ट्रॉनों का प्रवाह ही विद्युत धारा (Electric Current) प्रदान करता है।
➤ इसका उपयोग मोबाइल, टॉर्च, वाहन, लैपटॉप, इन्वर्टर आदि में किया जाता है।

✸ विद्युत परिपथ (Electric Circuit)
जिस मार्ग या पथ से होकर विद्युत धारा प्रवाहित होती है, उसे विद्युत परिपथ कहा जाता है।
इसमें कई विद्युत उपकरण, तार, स्विच, बैटरी आदि जुड़े रहते हैं, जिससे धारा का प्रवाह संभव होता है।
➤ परिपथ में प्रयुक्त विभिन्न घटकों को प्रतीकों द्वारा प्रदर्शित करते हुए जो चित्र बनाया जाता है, उसे परिपथ आरेख (Circuit Diagram) कहते हैं।
सामान्य प्रतीक:

✸ विद्युत धारा की प्रबलता (Electric Current Intensity)
किसी चालक के अनुप्रस्थ काट (Cross Section) से प्रति इकाई समय में प्रवाहित होने वाले आवेश की मात्रा को विद्युत धारा की प्रबलता (Current Intensity) कहते हैं।

जहाँ,
I = धारा (Ampere)
Q = आवेश (Coulomb)
t = समय (Second)
यदि किसी चालक से 1 सेकंड में 1 कूलॉम आवेश गुजरता है, तो उस चालक से प्रवाहित धारा की प्रबलता 1 एम्पियर (Ampere) कही जाती है।

✸ ऐमीटर (Ammeter)
ऐमीटर वह यंत्र है जिससे किसी परिपथ में प्रवाहित विद्युत धारा की मात्रा मापी जाती है।
इसे सदैव परिपथ में श्रृंखला क्रम (Series) में जोड़ा जाता है ताकि सम्पूर्ण धारा ऐमीटर से होकर गुज़रे।
✸ वोल्टमीटर (Voltmeter)
वोल्टमीटर वह उपकरण है जिससे परिपथ के दो बिंदुओं के बीच का विभवांतर (Potential Difference) मापा जाता है।
इसे परिपथ में सदैव समांतर क्रम (Parallel Connection) में जोड़ा जाता है।
✦ ऐमीटर तथा वोल्टमीटर की तुलना (Comparison between Ammeter and Voltmeter)
| क्रम सं. | ऐमीटर (Ammeter) | वोल्टमीटर (Voltmeter) |
| 1. | यह किसी विद्युत परिपथ में प्रवाहित धारा की प्रबलता (Current Strength) को मापने के लिए प्रयोग किया जाता है। | यह किसी विद्युत परिपथ में दो बिंदुओं के बीच विभवांतर (Potential Difference) को मापने के लिए प्रयोग किया जाता है। |
| 2. | इसे परिपथ में श्रृंखला क्रम (Series Connection) में जोड़ा जाता है ताकि सम्पूर्ण धारा ऐमीटर से होकर प्रवाहित हो सके। | इसे परिपथ में समांतर क्रम (Parallel Connection) में जोड़ा जाता है ताकि यह केवल दो बिंदुओं के बीच विभवांतर को माप सके। |
| 3. | इसका स्केल एम्पियर (Ampere) में अंकित रहता है। | इसका स्केल वोल्ट (Volt) में अंकित रहता है। |
| 4. | इसका आंतरिक प्रतिरोध (Internal Resistance) बहुत कम होता है। | इसका आंतरिक प्रतिरोध बहुत अधिक होता है। |
| 5. | यह धारा को मापने के लिए प्रयुक्त होता है। | यह विभवांतर को मापने के लिए प्रयुक्त होता है। |
✸ ओम का नियम (Ohm’s Law)
ओम का नियम 1826 ईस्वी में जर्मन वैज्ञानिक जॉर्ज साइमन ओम (George Simon Ohm) द्वारा प्रतिपादित किया गया था।
इस नियम के अनुसार किसी चालक के सिरों पर लगाया गया विभवांतर (V) और उसमें प्रवाहित धारा (I) के बीच एक निश्चित संबंध होता है।
➤ यदि किसी चालक का तापमान स्थिर रखा जाए, तो उसमें प्रवाहित विद्युत धारा विभवांतर के समानुपाती होती है।
अर्थात् –

जहाँ,
- V = विभवांतर (Volt)
- I = धारा (Ampere)
- R = प्रतिरोध (Ohm)
इस समीकरण से यह स्पष्ट होता है कि किसी चालक में प्रवाहित धारा उसके प्रतिरोध के व्युत्क्रमानुपाती (inversely proportional) होती है।
✸ प्रतिरोध (Resistance)
किसी पदार्थ का वह गुण जो विद्युत धारा के प्रवाह का विरोध करता है, उसका विद्युत प्रतिरोध (Resistance) कहलाता है।
यह चालक के पदार्थ, लंबाई, क्षेत्रफल और तापमान पर निर्भर करता है।
➤ प्रतिरोध का SI मात्रक ओम (Ohm, Ω) होता है।
1 ओम वह प्रतिरोध है, जब चालक के सिरों पर 1 वोल्ट का विभवांतर लगाने पर उसमें 1 एम्पियर की धारा प्रवाहित होती है।
1Ω=1V/1A
✦ चालक (Conductor)
वे पदार्थ जिनका प्रतिरोध बहुत कम होता है और जिनसे होकर आवेश आसानी से प्रवाहित हो सकता है, चालक कहलाते हैं।
उदाहरण: ताँबा, लोहा, एल्युमिनियम, चाँदी आदि।
✦ प्रतिरोधक (Resistor)
वे पदार्थ जिनका प्रतिरोध उच्च होता है और जो धारा के प्रवाह में आंशिक बाधा उत्पन्न करते हैं, प्रतिरोधक कहलाते हैं।
इन्हें परिपथ में धारा को नियंत्रित करने के लिए प्रयोग किया जाता है।
उदाहरण: कार्बन, मैंगनीन, निक्रोम आदि।
✦ विद्युतरोधी (Insulator)
वे पदार्थ जिनका प्रतिरोध बहुत अधिक होता है, और जिनसे होकर धारा लगभग प्रवाहित नहीं हो पाती, उन्हें विद्युतरोधी कहते हैं।
उदाहरण: रबर, लकड़ी, प्लास्टिक, एबोनाइट आदि।
✸ प्रतिरोधकों का समूहन (Grouping of Resistors)
दो या दो से अधिक प्रतिरोधकों को जोड़ने के दो प्रमुख तरीके होते हैं —
- श्रेणीक्रम संयोजन (Series Grouping)
- समांतर संयोजन (Parallel Grouping)
✦ 1. श्रेणीक्रम (Series Combination):
जब कई प्रतिरोधक एक के बाद एक क्रम में जोड़े जाते हैं, तो यह श्रृंखला संयोजन कहलाता है।
इसमें सभी प्रतिरोधों में धारा समान रहती है, जबकि विभवांतर अलग-अलग होता है।

✦ 2. समांतरक्रम (Parallel Combination):
जब प्रतिरोधकों के सभी सिरों को एक साथ दो सामान्य बिंदुओं से जोड़ दिया जाता है, तो यह समांतर संयोजन कहलाता है।
इसमें विभवांतर समान होता है, लेकिन धारा विभिन्न होती है।

✦ प्रतिरोधकों के श्रेणीक्रम तथा समांतरक्रम समूहन की तुलना (Comparison between Series and Parallel Combination of Resistors)
| क्रमांक | श्रेणीक्रम समूहन (Series Combination) | समांतरक्रम समूहन (Parallel Combination) |
| 1. | सभी प्रतिरोधकों में एक ही धारा प्रवाहित होती है, परन्तु उनके सिरों के बीच विभवांतर उनके प्रतिरोध के अनुसार अलग-अलग होता है। | सभी प्रतिरोधकों के सिरों के बीच एक ही विभवांतर होता है, परन्तु उनके प्रतिरोधों के अनुसार उनमें प्रवाहित धारा भिन्न-भिन्न होती है। |
| 2. | प्रतिरोधकों का समतुल्य प्रतिरोध (Equivalent Resistance) सभी प्रतिरोधों के योग के बराबर होता है। | प्रतिरोधकों के समतुल्य प्रतिरोध का व्युत्क्रम, सभी प्रतिरोधों के व्युत्क्रमों के योग के बराबर होता है। |
| 3. | समतुल्य प्रतिरोध का मान प्रत्येक प्रतिरोधक के प्रतिरोध से अधिक होता है। | समतुल्य प्रतिरोध का मान प्रत्येक प्रतिरोधक के प्रतिरोध से कम होता है। |
| 4. | यदि किसी एक प्रतिरोधक को परिपथ से हटा दिया जाए, तो शेष परिपथ से धारा प्रवाहित नहीं होगी। | यदि किसी एक प्रतिरोधक को परिपथ से हटा दिया जाए, तो अन्य प्रतिरोधकों से धारा प्रवाहित होती रहेगी। |
✸ विधुत-धारा का ऊष्मीय प्रभाव (Heating Effect of Electric Current)
जब किसी चालक से विद्युत् धारा प्रवाहित की जाती है, तो वह चालक गर्म हो जाता है।
अर्थात् विद्युत् ऊर्जा ऊष्मा (Heat Energy) में परिवर्तित हो जाती है।
इसी प्रक्रिया को विद्युत धारा का ऊष्मीय प्रभाव कहा जाता है।
सिद्धांत:
चालक में प्रवाहित धारा द्वारा उत्पन्न ऊष्मा की मात्रा उस कार्य के बराबर होती है जो धारा चालक के प्रतिरोध के विरुद्ध करती है।
✸ विधुत शक्ति (Electric Power)
किसी विद्युत् परिपथ में ऊर्जा के व्यय की दर को विद्युत् शक्ति (Electric Power) कहते हैं।
अर्थात्, किसी समय में विद्युत ऊर्जा कितनी तेज़ी से उपयोग होती है, यह शक्ति का माप है।
- SI मात्रक : वाट (Watt)
- प्रतीक : W
- संबंध : 1 W = 1 Volt × 1 Ampere
✸ विधुत ऊर्जा (Electric Energy)
यदि किसी बल्ब पर “220 V, 60 W” लिखा हो, तो इसका अर्थ यह है कि
बल्ब 220 वोल्ट के विभवांतर पर 60 वाट शक्ति का उपयोग करेगा।
घरों और उद्योगों में विद्युत ऊर्जा के उपभोग को मापने के लिए
एक अन्य मात्रक किलोवाट घंटा (kWh) प्रयोग किया जाता है।
- 1 यूनिट = 1 kWh = 1 किलोवाट × 1 घंटा
✦ विद्युत धारा के ऊष्मीय प्रभाव के उपयोग
हमारे दैनिक जीवन में विद्युत धारा का ऊष्मीय प्रभाव अत्यंत उपयोगी है।
इसके प्रयोग के कुछ प्रमुख उदाहरण नीचे दिए गए हैं —
- हीटर (Electric Heater)
- इस्तरी (Electric Iron)
- टोस्टर, रूम हीटर, सोल्डरिंग रॉड आदि।
इन सभी उपकरणों के उस भाग को, जहाँ धारा प्रवाहित होकर ऊष्मा उत्पन्न करती है,
तपन अवयव (Heating Element) कहा जाता है।
➤ तपन अवयव (Heating Element) की आवश्यकताएँ
तपन अवयव ऐसे पदार्थों से बनाए जाते हैं जिनमें —
- प्रतिरोधकता (Resistivity) अधिक हो, ताकि कम धारा में भी अधिक ऊष्मा उत्पन्न हो सके।
- गलनांक (Melting Point) अधिक हो, ताकि अत्यधिक तापमान पर भी तंतु न पिघले।
अधिकांश तपन अवयव नाइक्रोम (Nichrome) नामक मिश्रधातु से बनते हैं,
जिसमें लगभग 60% निकेल, 12% क्रोमियम, 2% मैंगनीज और 26% लोहा होता है।
नाइक्रोम की प्रतिरोधकता अधिक तथा गलनांक अत्यधिक ऊँचा होता है।
✸ विधुत तापक (Electric Heater)
विधुत तापक में नाइक्रोम के तार की कुंडली विधुतरोधी पदार्थ पर लपेटी रहती है।
जब इससे धारा प्रवाहित की जाती है, तो यह गर्म होकर ऊष्मा उत्पन्न करती है।
इसी से कमरे, पानी या अन्य वस्तुएँ गर्म की जाती हैं।
✸ विधुत बल्ब (Electric Bulb)
विद्युत बल्ब के अंदर टंग्स्टन (Tungsten) का पतला तार होता है,
जिसे तंतु (Filament) कहा जाता है। यह धातु के दो स्पर्शक बिंदुओं से जुड़ा होता है।
बल्ब के अंदर निष्क्रिय गैसें (जैसे आर्गन, नाइट्रोजन) भरी होती हैं
ताकि तंतु जल्दी न जले और अधिक समय तक प्रकाश देता रहे।
✸ सुरक्षा फ्यूज (Electric Fuse)
फ्यूज एक सुरक्षा उपकरण है जो विद्युत परिपथ को अत्यधिक धारा से बचाता है।
यह काँच, चीनी मिट्टी या प्लास्टिक से बने आवरण में लगा रहता है
और इसके अंदर जस्ता-टिन की मिश्रधातु का पतला तार होता है।
- इसकी प्रतिरोधकता अधिक और गलनांक कम होता है।
- यदि परिपथ में धारा बहुत बढ़ जाए, तो यह तार पिघलकर परिपथ को तोड़ देता है।
- इससे बल्ब, पंखा, टीवी, फ्रिज आदि उपकरण जलने से बच जाते हैं।
- जिस धारा के मान पर फ्यूज तार गल जाता है, उसे फ्यूज की क्षमता (Fuse Rating) कहते हैं।
निष्कर्ष (Conclusion):
अगर आपको यह कक्षा 10वीं भौतिक विज्ञान – अध्याय: विधुत धारा (Electric Current) के नोट्स उपयोगी लगे हों, तो ऐसे ही सरल, स्पष्ट और परीक्षा आधारित नोट्स के लिए हमारी वेबसाइट StudyNumberOne.co को ज़रूर विज़िट करें और फॉलो करें।
यहाँ आपको कक्षा 9वीं और 10वीं के सभी विषयों — भौतिकी (Physics), रसायनशास्त्र (Chemistry), जीवविज्ञान (Biology) तथा अन्य सभी विषयों के नवीनतम, बोर्ड परीक्षा उपयोगी और फ्री हिंदी मीडियम नोट्स उपलब्ध हैं।
Study Number One – जहाँ पढ़ाई आसान होती है।
Also Read









